Matriks

 Matriks

  • Karakteristik Matriks
  • Jenis-Jenis Matriks
  • Operasi Matriks


Matriks

  • Kumpulan bilangan, simbol atau ekspresi berbentuk persegi panjang yang disusun menurut baris dan kolom
  • Matriks banyak digunakan untuk menyelesaikan berbagai permasalahan matematika misalnya dalam menemukan solusi masalah persamaan linear, transformasi linear yakni bentuk umum dari fungsi linear contohnya rotasi dalam 3 dimensi
  • Bilangan, simbol, atau ekspresi yang terdapat pada suatu matriks disebut dengan elemen atau disebut juga anggota dari suatu matriks
  • Ukuran matriks disebut dengan ordo matriks. Ordo suatu matriks merupakan bilangan yang menunjukan banyaknya baris (m) dan banyaknya kolom (n).


Jenis Matriks

  • Matriks Persegi : Matriks yang memiliki banyak baris dan kolom sama
  • Matriks Baris : Matriks yang hanya memiliki satu baris saja 
  • Matriks Kolom :Matriks yang hanya memiliki satu kolom saja 
  • Matriks Nol : Matriks yang semua elemennya adalah 0
  • Matriks Diagonal : Matriks persegi yang elemen selain diagonal utama adalah 0 
  • Matriks Identitas : Matriks diagonal yang elemen pada pada diagonal utamanya adalah 1
  • Matriks Segitiga Atas : Matriks yang elemen dibawah diagonal utamanya adalah 0 
  • Matriks Segitiga Bawah : Matriks yang elemen diatas diagonal utamanya adalah 0
  • Matriks Simetris : Matriks yang elemen yang dibawah dan diatas diagonal utamanya simetris 
  • Matriks Skalar : Matriks diagonal yang elemen pada diagonal utamanya sama

Kesamaan Dua Matriks 

  • Matriks dikatakan sama apabila dua matris tersebut berukuran sama dan anggota yang letaknya bersesuaian sama pula.
  • Contoh :
            A = B karena matriks A dan B memiliki ordo yang sama dan semua anggota di A yang letaknya             bersesuaian sama dengan anggota di B.
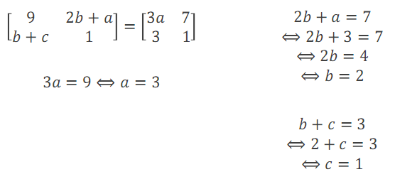
  • Contoh 
  • Carilah Nilai dari a, b dan c

Transpose Matriks

  • Transpose matriks adalah matriks yang dibentuk dengan mengubah susunan baris menjadi kolom dan sebaliknya.
  • Contoh:


Operasi Matriks

  • Penjumlahan dan Pengurangan Matriks
  • Syarat : Ordo Matriks harus sama
  • Contoh :
  • Perkalian matriks dengan skalar
  • Contoh:








  • Perkalian Matriks dengan Matriks
  • Syarat: banyak kolom pada matriks pertama harus sama banyak dengan banyak baris pada matriks kedua.









  • Sifat Perkalian Matriks 
  • Contoh:

Download Materi Disini → Create by Mrs.Olief Ilmandira Ratu Farisi M.pd . Dosen Universitas Nurul Jadid


Share:

Tidak ada komentar:

Posting Komentar

Postingan Populer

Postingan Terbaru

Pages